详情介绍
产品名称:单宁酸
性状:淡黄色或浅棕色无定型粉末,暴露至空气中氧化、颜色加深,无臭、有涩味。溶于水、乙醇、丙酮、乙酸乙酯。
CAS NO.:1401-55-4
分子式:C76H52O46
分子量:1701.18
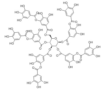
结构式:
执行标准:LY/T1300-2022(行业标准)
用途:
1、用于酸铁墨水的制造,金属的防锈,石油钻井的泥浆处理;
2、织物印染方面,可用于皮革鞣剂,媒染剂,凝固剂,蛋白剂,生物碱沉淀剂;
3、医药方面,是制取医药倍酸、焦倍酸、磺胺类药物的原料在化妆品方面也有广泛的应用
4、精细化学品方面,是生产鞣花酸、没食子酸、没食子酸酯类、焦性没食子酸等没食子酸系列产品的初始原料;
5、食品领域,可应用于低度酒类的澄清剂、菠萝蛋白酶食品加工等方面;可有选择的吸附麦汁中蛋白质,降低啤酒的醛类物质,提高啤酒的非生物稳定性和风味稳定性;
关键词: 饲用单宁酸
产品询价
Online
Message
如果您对我公司有建议或反馈,请在此页面填写相关信息并提交,会有工作人员及时与您联系, 或请直接拨打我们的电话。